NONIN 8000J-Sensor Flex do pulsoksymetru niemowlęcego, z kablem 1m System czujników pulsoksymetrii wielokrotnego użytku

210,59 €
Wysyłka z magazynu: ⁨N4⁩
Przewidywana wysyłka: Mon, Nov 10 - Wed, Nov 12
14 dni na zwrotBez podawania przyczyny
Dostępność:
na wyczerpaniu
Producent:
NONIN
Kod produktu:

System czujnika pulsoksymetrii wielokrotnego użytku

System czujników Flex Nonin 8000J łączy wygodę i wydajność plastra jednorazowego użytku z ekonomiką czujnika wielokrotnego użytku. Elastyczny czujnik wielokrotnego użytku, wykonany z trwałego silikonu, jest zabezpieczony odpowiednim, jednorazowym klejem FlexiWrap. Ten hybrydowy system czujników zastosować można przy rozszerzonym monitorowaniu i badaniu snu. Dostępne w wielu konfiguracjach, aby dopasować rozmiar w zależności od pacjenta.

Rozmiary dla wszystkich pacjentów:

Adult Flex System: 8000J Sensor + 8000JFW FlexiWrap

Długość kabla: 1m / 3m / WristOx 2

Zakres pacjenta:> 20kg

Preferowane zastosowanie: Palce u ręki

Infant Flex System: 8008J Sensor + 8008JFW FlexiWrap

Długość kabla: 1 m

Zasięg pacjenta: 2 - 20 kg

Preferowane zastosowanie: Duży palec u stopy

Noworodkowy Flex System: 8001J Sensor + 8001JFW FlexiWrap

Długość kabla: 1 m

Zasięg pacjenta: <2 kg

Preferowane zastosowanie: Boczny tor stopy

Dostępne warianty:

NONIN 8000J-3 - Sensor Flex do pulsoksymetru dla dorosłych 8000J, z kablem 3m,

NONIN 8000J - Sensor Flex do pulsoksymetru dla dorosłych 8000J, z kablem 1m,

NONIN 8008J-3 - Sensor Flex do pulsoksymetru niemowlęcego 8008J, z kablem 3m,

NONIN 0740-000 - Sensor Flex do pulsoksymetru niemowlęcego 8008J, z kablem 1m,

NONIN 8001J - Sensor Flex do pulsoksymetru noworodkowego 8001J, z kablem 1m.

Specyfikacja 8000J:

Dokładność SpO 2 (Dorośli / Peds) 1, 2, 3 :

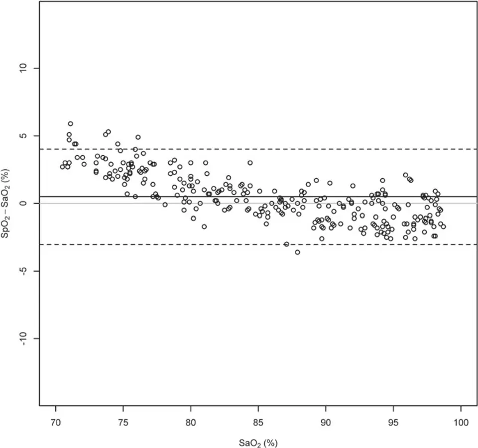
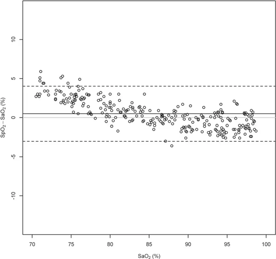
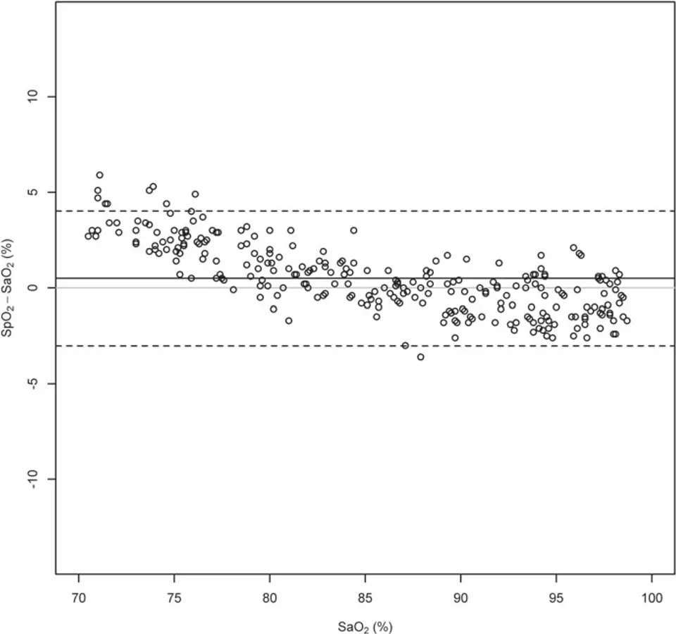
Zasięg / Nasycenie tlenem (A rms *) (rysunek 1)

70 - 100%± 3

70 - 80%± 3

80 - 90%± 2

90 - 100%± 2

nonin sensor 8000 wielokrotnego użytku

SpO2 Niska dokładność perfuzji : 70 do 100% ± 2 cyfry (A rms *) 1

Dokładność częstości tętna : 40 do 240 BPM ± 3 cyfry (A rms *) 1

Częstość tętna Niska dokładność perfuzji : 40 do 240 BPM ± 3 cyfry ( A rms *) 1

Temperatura: 4, 5

Praca : -20 ° C do 50 ° C (-4 ° F do 122 ° F)

Przechowywanie / transport : -40 ° C do 70 ° C (-40 ° F do 158 ° C)

Wilgotność: 4, 5

Praca : 10% do 95% bez kondensacji

Magazynowanie / transport : 10% do 95% bez kondensacji

Legenda:

* ± 1 A rms obejmuje 68% populacji przy zerowym obciążeniu.

** Informacja ta jest szczególnie przydatna dla lekarzy wykonujących terapię fotodynamiczną.

1 Dodatkowe informacje dotyczące dokładności i wydajności można znaleźć w dokumencie dokładności czujnika na płycie CD z instrukcją obsługi.

2 Testy dokładności przeprowadzono w warunkach braku ruchu.

3 Specyfikacja dokładności w oparciu o Nonin za PureSAT SpO2 technologii i PureLight technologii czujników.

4 Informacje dotyczące połączonych specyfikacji pulsoksymetru / czujnika można znaleźć w odpowiedniej instrukcji obsługi systemu oksymetrycznego.

5 zakresów testowanych z technologią Nonin PureSAT SpO 2 .

Długość fali pomiarowej i moc wyjściowa **:

Czerwony : 660 nanometrów przy 3 mW nominalnej

Podczerwieni : 910 nanometrów przy 3 mW nominalnej

Zgodność:

Ten produkt jest zgodny z ISO 10993-1.

Nie wykonane z naturalnego lateksu kauczukowego.

Mimo dołożenia wszelkich starań nie gwarantujemy, że publikowane dane techniczne i zdjęcia nie zawierają uchybień lub błędów, które nie mogą jednak być podstawą do roszczeń.

Strona główna